好了,乘着今年NeurIPS的截稿日推迟了48小时的机会,抽空介绍一下今年ICML中稿的文章。
这次有幸中了三篇Long talk(每篇long talk约3%的中稿率),算是运气爆棚,感谢给力的合作者们!这里先讲一下我的一篇获得Long talk的一作文章Understanding self-supervised Learning Dynamics without Contrastive Pairs,其它两篇之后再讲。
最近在理论方面,以之前的学生-教师网络分析为基础,这边的研究方向渐渐转向分析“表示学习”(representation learning)的训练原理。这篇文章就是针对最近出现的一些新型的,无负例样本对的表示学习算法(如BYOL和SimSiam),进行了一些梯度下降动力学上的分析。
在自监督学习(self-supervised learning)中,对比学习(contrastive learning)是一个非常通用的学习方案:虽然没有样本标注,但我们可以假设数据增强(data augmentation)永远将一个样本转换成和它同类的样本,然后要求通过数据增强的样本,其输出的表示(representation)和原样本的representation尽量保持接近;而不同的样本,也即是负例样本对,其representation则尽量不同。这样学得的representation,自然能对数据增强造成的样本变化具有鲁棒性。
如果说对比学习的原理大家还是能理解的话,那无负例样本对(non-contrastive)的学习算法就相当神奇了:我们可以把负例样本对去掉,只对由同一样本生成的两个正例样本对进行训练,算法居然还能学出一个有意义的表示。
看到这个现象,大家自然会觉得,为什么学习算法不会找到偷懒的秘方,收敛到一个常值表示的平凡解呢(称为崩溃Collapsing)?这样的话,正例样本对的要求自然满足,因为它们输出的表示永远是相同的。
一开始大家觉得可能是BatchNorm的问题,BatchNorm的归一化让同一个batch里面的不同样本之间成了自然的负例样本对,为此我们去年的文章(见)对此做了一些分析,不过在两周之后旋即被DM的人反驳,他们拿出实验结果证明就算没有BN,BYOL的训练也是能成立的——所以这也许并不是本质原因。
我们这篇文章于是对此进行了更深入的分析——先从最简单的线性架构开始。

以上是一个最简单的non-contrastive self-supervised learning的架构。两边都是线性的,一边多一层预测器(predictor),另一边的梯度不能反传(stop-gradient)。之前的文章(包括鑫磊和恺明的SimSiam)都通过实验证明了,这两个附加的结构,对于学习算法不崩溃至关重要,但理论上这是怎么回事呢?
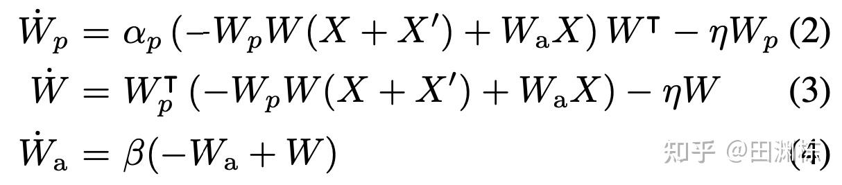
很有意思的是,我们这篇文章通过分析这样一个最简单的线性架构,就可以产生很多理论上的推断,并且这些推断都与实验事实吻合。首先,我们可以写下这个系统的目标函数和动力学方程:


注意到这个动力学方程里有三个超参数, 是预测器(predictor)的学习率, 是权重衰减率(weight decay), 是指数衰减移动平均(Exponential Moving Average)的速率。这篇文章的一个主要贡献,就是通过理论分析预测出这三者对学习过程和结果的影响。
给定这个模型,经过一些简单分析,我们可以立即发现如果没有“梯度不能反传”的条件,那这个动力学方程会立即让权重W收敛到平凡解。在理论上,我们就能直接计算到了以前的文章的实验结论:

更有趣的是,这个理论分析的一个关键部分(文中定理3)是发现了在训练过程中, 预测器 和预测器输入的相关矩阵 这两者的特征空间会逐渐地趋向对齐(eigenspace alignment),这也被实验所充分证明:

在理论上我们可以证明这个对齐在满足一定条件下是会出现的(这里假设预测器 是对称矩阵,注意到F也对称,两个实对称矩阵乘积可交换当且仅当它们有相同的的特征空间):

有了这个对齐的条件,整个动力学方程就可以解耦成如下的一维问题,这为接下来的分析提供了极大的便利。式中 和 对应于预测器 和 的特征向量,而 则对应于EMA(细节见文章):

针对这个一维问题我们可以进行大量的细致分析,比如说我们可以发现 的特征值有好几个稳定解。其中零点是平凡解,但还有一个非零的非平凡解,BYOL类的算法在训练时为什么能不崩溃,为什么可以收敛到好的表示,都是因为有这个非平凡解的存在。

另外,从解耦的方程来看, 所谓“预测器” 其实是一个优化函数动力学上的“缓冲”,通过同时和下方的网络参数(以 为代表)一起增长,来驱动下方网络的学习过程,让其能进行下去。如果没有 ,或者说 一开始就是单位阵( ),那么这个动力学只会得出 ,从而压制 的特征值 让它趋于0,不会增长,那么学习也不会进行。
使用这解耦的方程,我们对这个动力学方程的三个超参数 (预测器学习率), (权重衰减率)还有 (指数衰减移动平均的速率)进行了细致分析,列出了10条具体的现象(见下表),并且用大量的实验表明这个分析和实际实验相当一致。

注意我们在做实验的时候,用的是多层的非线性神经网络(ResNet18),训练样本也是CIFAR-10和STL-10,所以和分析用的线性模型并不一致,但令人惊奇的是,理论预测的趋势和实验仍然符合得很不错。具体的细节我就不在这里讲了,大家可以看文章。
从我们的分析之中,又会冒出一个自然的想法:如果梯度下降的最终目标是让这两者的特征空间对齐,那为什么不修改训练算法,让它们一开始就对齐呢?文章的后半段就设计了一个新算法叫DirectPred。根据相关矩阵F的估计,在训练时直接计算出预测器 的值,看看学习效果如何:

结果正如我们所料,在对算法进行了这样一顿大改之后,新的学习算法照样可以学会好的表示,并且比用梯度下降优化线性预测器的效果更好:

在ImageNet(60 epochs)上也有相似的结果。DirectPred效果好于线性predictor,与使用两层的predictor的效果相当(Camera Ready之后这张表更新了,增加了300 epoch的结果,与原始的BYOL结果一致,在Top-5上甚至还有0.2%的小提升,感谢鑫磊!):

以后如果能拓展完成两层predictor的理论分析,或许会得到更好的算法出来。不过数学上可能会相当复杂,留待之后再处理了。
总的来说,这篇文章算是比较幸运的理论和实验相当吻合的例子,做完之后也非常高兴。所有五个评审都给出了一致的好评,最后的分数是4Accept + 1Strong Accept,没有悬念地中了。在做完了CIFAR-10和STL-10的实验之后,在ImageNet用同样的思路直接就有效果,而没有通过使劲堆机器疯狂试验,这是很不错的了,当然这也亏得鑫磊在ImageNet上一流的实验功底,非常感谢!